Resultados das áreas de gestão
Gestão Orçamentária e Financeira
Orçamento total disponível 2021 - MPDFT
|
Lei nº 14.144, de 22/04/2021 (LOA/2021) |
R$ 961.966.811 |
|
Créditos adicionais líquidos |
(+) R$ 25.701.089 |
|
Orçamento final disponível |
R$ 987.667.900 |
Fonte: Tesouro Gerencial 2021.
A referida suplementação orçamentária correspondeu ao aporte realizado pelo cancelamento de despesas do Ministério Público Federal (MPF), ao final do exercício, para cobrir despesas com auxílio-alimentação, assistência médica e odontológica e Ativos Civis do MPDFT.
Ressalta-se que, no período, não houve contingenciamento da dotação do Órgão.
Comparativo da distribuição da dotação final disponível por grupo de despesa 2019-2020-2021
|
2021 |
||
|
Grupo |
Dotação Final (R$) |
% |
|
Pessoal |
854.924.018 |
86,56% |
|
Custeio |
117.646.612 |
11,91% |
|
Investimentos |
15.097.270 |
1,53% |
|
Total |
987.667.900 |
100% |
|
2020 |
||
|
Grupo |
Dotação Final (R$) |
% |
|
Pessoal |
836.856.078 |
84,85% |
|
Custeio |
120.915.982 |
12,26% |
|
Investimentos |
28.543.871 |
2,89% |
|
Total |
986.315.931 |
100% |
|
2019 |
||
|
Grupo |
Dotação Final (R$) |
% |
|
Pessoal |
814.053.656 |
88,53% |
|
Custeio |
104.679.644 |
11,38% |
|
Investimento |
793.200 |
0,09% |
|
Total |
919.526.500 |
100% |
Fonte: Tesouro Gerencial 2019, 2020 e 2021.
Observa-se uma estabilidade na distribuição orçamentária nos grupos de despesa de pessoal e custeio e um significativo acréscimo nas despesas de investimento, a partir de 2020, principalmente, devido à correção do limite estabelecido para o Órgão, por força da decisão proferida pelo Acórdão 3072/2019-TCU/Plenário, quando houve a recomposição do orçamento do MPDFT.
Perfil de gastos do MPDFT
A execução das despesas primárias obrigatórias e discricionárias do MPDFT atingiu o percentual de 99,67%. Em comparação ao exercício de 2020, houve um aumento percentual de 0,33 pontos.
- Comparativo da dotação final disponível e da execução das despesas primárias (obrigatórias e discricionárias) de 2020 e 2021:
Para acessar o arquivo, clique aqui.
Quando consideradas as despesas totais (incluindo as despesas financeiras previdenciárias), a execução passa a ser de 99,37%.
- Comparativo da dotação final disponível e da execução total das despesas de 2020 e 2021:
Para acessar o arquivo, clique aqui.
O comparativo das despesas totais efetuadas pelo MPDFT, em relação ao orçamento disponibilizado no exercício, evidencia um acréscimo das despesas com pessoal e encargos sociais no valor de R$ 115.434.731, utilizado para o pagamento regular das despesas de pessoal, além do pagamento de passivos de exercícios anteriores, licença-prêmio, pagamento de 1/3 de férias acumuladas de membros e servidores e Parcela Autônoma de Equivalência (PAE).
Quanto às despesas de custeio, a exemplo de exercícios anteriores, as mais expressivas estão relacionadas aos gastos com benefícios assistenciais, plano de assistência médica e odontológico, contratos de manutenção predial, administrativa e de segurança institucional e gratificação por encargos de concursos. Esta última, paga, em virtude da realização do 32º Concurso público para ingresso na carreira do MPDFT no cargo de Promotor de Justiça Adjunto, realizado em 2021.
Quanto aos investimentos, embora tenha havido um decréscimo de 46,69% em relação a 2020, foram aplicados, principalmente na área de Tecnologia da Informação, com a aquisição de notebooks e softwares diversos, e, na área da Secretaria de Projetos e Obras, para cobrir despesas com obras e instalações relativas a manutenções prediais e de imóveis e com a retomada de obras e instalações do Edifício das Promotorias de Justiça de Brazlândia.
GRUPO 1: Pessoal e encargos sociais
|
|
Valor pago R$ |
% |
|
Ativos |
648.291.424 |
76% |
|
Inativos e pensionistas |
101.316.355 |
12% |
|
Contribuições patronais |
101.851.746 |
12% |
|
Total |
851.459.525 |
100% |
Fonte: Tesouro Gerencial 2021.
Grupo 1: Despesas por elemento
|
Elemento de despesa |
Valor pago R$ |
% |
|
11 – Vencimentos e vantagens fixas – pessoal civil |
617.509.256 |
72,52% |
|
13 – Obrigações patronais |
101.787.404 |
11,95% |
|
16 – Outras despesas variáveis – pessoal civil |
14.378.370 |
1,69% |
|
01 – Aposentadorias e reformas |
75.790.598 |
8,9% |
|
03 – Pensões |
21.455.685 |
2,52% |
|
92 – Despesas de exercícios anteriores |
5.997.228 |
0,70% |
|
Demais elementos |
14.540.985 |
1,71% |
|
Total |
851.459.525 |
100% |
Fonte: Tesouro Gerencial 2021.
GRUPO3: Outras despesas correntes
|
Despesa |
Valor pago R$ |
% |
|
Tecnologia da informação |
4.007.813 |
4% |
|
Segurança institucional |
19.415.960 |
17% |
|
Auxílios e benefícios |
34.373.767 |
31% |
|
Plano de assistência médica |
19.423.631 |
17% |
|
Manutenção administrativa |
25.600.914 |
23% |
|
Outras despesas |
9.495.572 |
8% |
|
Total |
112.317.657 |
100% |
Fonte: Tesouro Gerencial 2021.
Grupo 3: Despesas por elemento
|
Elemento de despesa |
Valor pago R$ |
% |
|
37 – Locação de mão de obra |
34.353.428 |
30,59% |
|
39 – Outros serviços de terceiros (PJ) |
29.352.746 |
26,13% |
|
40 – Serviços de tecnologia da informação e comunicação |
4.392.498 |
3,91% |
|
46 - Auxílio-alimentação |
28.277.427 |
25,18% |
|
Demais elementos |
15.941.560 |
14,19% |
|
Total |
112.317.658 |
100% |
Fonte: Tesouro Gerencial 2021.
GRUPO 4: INVESTIMENTOS – Despesas por elemento
|
Elemento de despesa |
Valor pago R$ |
% |
|
51 – Obras e instalações |
2.493.534 |
21% |
|
52 – Equipamentos e material permanente |
3.686.021 |
32% |
|
40 – Serviços de tecnologia da informação e comunicação |
5.475.542 |
47% |
|
Total |
11.655.097 |
100% |
Fonte: Tesouro Gerencial 2021.
Comparativo da execução de restos a pagar em 2020-2021
|
Restos a pagar processados e não processados |
2021 (R$) |
2020 (R$) |
|
Inscritos |
7.551.940 |
1.863.208 |
|
Reinscritos |
53.072 |
48.344 |
|
Total RP |
7.605.012 |
1.911.551 |
|
Pagamento |
6.061.010 |
1.633.684 |
Fonte: Tesouro Gerencial 2020 e 2021.
O valor total de restos a pagar, inscritos e reinscritos, a ser executado no exercício de 2021, foi bem superior ao de 2020, principalmente por conta da impossibilidade de conclusão de procedimentos licitatórios em tempo hábil e do cumprimento do cronograma das empresas em executar os serviços ou entregar os produtos, o que inviabilizou a liquidação e o correspondente pagamento.
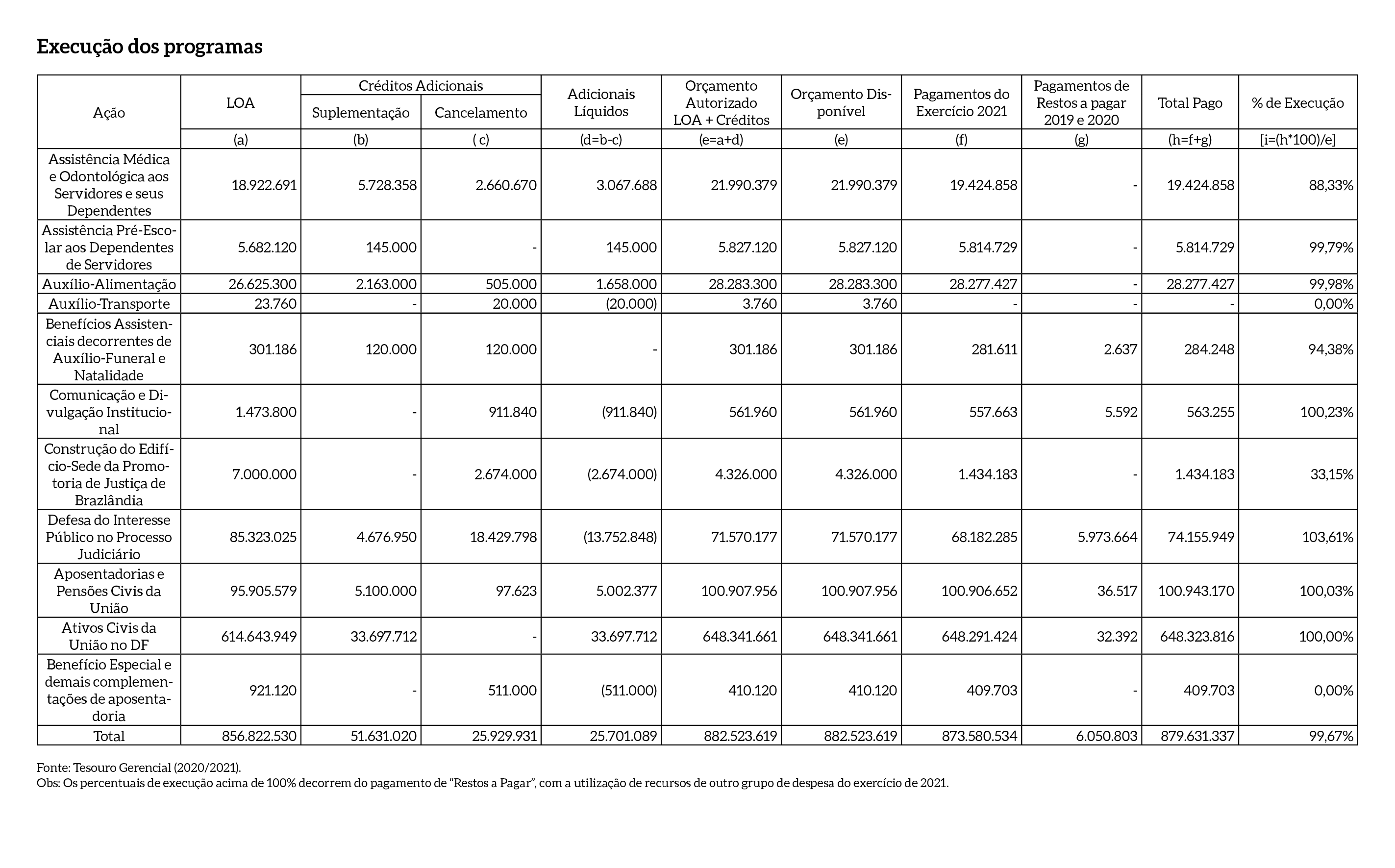
Execução dos Programas
Com base na EC nº 95/2016, a execução dos programas do MPDFT obteve um percentual total de 99,67%, considerando as despesas primárias (obrigatórias e discricionárias) e os restos a pagar. Dessa forma, cabe mencionar que não estão sendo consideradas as despesas financeiras relativas a encargos previdenciários do Órgão.
Ressalta-se que a recomposição do orçamento do MPDFT, em decorrência da decisão do TCU, Acórdão 3072/2019, deu continuidade ao atendimento de demandas represadas do Órgão, tanto na área de custeio como na de investimentos.
O plano de assistência médica hospitalar e odontológica do Órgão, desde 2016, é executado pelo Ministério Público Federal (MPF), conforme o termo de cooperação firmado naquele ano.
Os percentuais de execução dos programas reafirmam o alinhamento da gestão orçamentária aos objetivos estratégicos do Órgão, conforme a execução dos programas apresentada a seguir:
Execução dos programas
Para acessar o arquivo da execução dos programas, clique aqui.
Discussão do desempenho atual x desempenho esperado/orçado – análise de tendências
O MPDFT, ainda sob os efeitos da pandemia na economia brasileira, permanece com uma alta execução orçamentária e financeira (99,67%).
Em 2021, as medidas de economia de gastos implementadas em exercícios anteriores foram mantidas e, com a recomposição do orçamento advindo do Acordão TCU 3072/2019, foi possível dar continuidade ao custeio das despesas administrativas de manutenção e à aplicação em investimentos na área de informática, à modernização de instalações em edifícios próprios e à retomada gradual da obra de construção do Edifício das Promotorias de Justiça de Brazlândia.
As despesas de pessoal, durante todo o período, mantiveram-se dentro dos limites impostos pela Lei de Responsabilidade Fiscal (LRF).
O cenário de pandemia, após uma breve estabilização dos casos de contaminação, foi agravado com o surgimento, no final do segundo semestre de 2021, de uma nova variante do vírus, o que tem retardado a retomada gradual do trabalho presencial dos integrantes da casa.
As projeções de crescimento da economia para 2022 ainda se mostram incertas. A expectativa é de que o atendimento das despesas necessárias para o funcionamento institucional do Órgão seja mantido.
1.4.5.1.7 Parcerias estabelecidas com outras instituições
O MPDFT, além da execução regular do seu orçamento, tem realizado parcerias com outros órgãos, por meio de Termo de Execução Descentralizada (TED):
- TED nº 57/2019, firmado com o Fundo de Defesa dos Direitos Difusos (FDD), sob a gestão do Centro de Produção, Análise, Difusão e Segurança Institucional (CI), cujo objeto é a aquisição de solução de inteligência para o Órgão;
- TED nº 1/2021, com o Ministério da Justiça e Segurança Pública (MJSP), gerido pela Coordenadoria Executiva de Autocomposição (Cauto), com a finalidade de dar prosseguimento ao Projeto “Mediação Comunitária” do MPDFT.
No exercício de 2021, o TED nº 57/2019 foi executado pelo MPDFT no valor inscrito em restos a pagar de 2020, de R$ 10.650.194,75. O valor recebido em 2021, de R$ 388.319,00, não foi realizado, mas sim integralmente inscrito em restos a pagar ao final do exercício.
Quanto ao TED nº 1/2021, houve o recebimento de destaque no valor de R$ 200.000,00, também inscrito em restos a pagar, ao final do ano.
Riscos de gestão
Os principais riscos que comprometem a atuação da área de Orçamento e Finanças estão relacionados ao possível contingenciamento de despesas; à ocorrência de despesas emergenciais que comprometam a programação inicial feita para o Órgão e à evasão de servidores da Secretaria.
Principais desafios, ações e perspectivas para os próximos exercícios
Há a necessidade de aperfeiçoamento dos processos de trabalho, com o desenvolvimento e a implementação de um sistema informatizado específico, que otimize as ações da área de orçamento e finanças. Também é necessária a redução significativa de valores inscritos em restos a pagar ao final de cada exercício, o atendimento dos limites estabelecidos pela Lei de Responsabilidade Fiscal (LRF) para as despesas de pessoal, o controle da execução das despesas primárias, conforme os limites da EC nº 95/1996, e a concessão de crédito orçamentário que possibilite a conclusão da construção da sede da Promotoria de Justiça de Brazlândia.
Gestão de Custos
- Base legal:
a) Princípios constitucionais da CF/1988, como a Eficiência do Setor Público, que preconiza a otimização dos resultados dos serviços públicos com os recursos destinados ao funcionamento da Administração Pública.
b) Lei de Responsabilidade Fiscal (LRF) e a Portaria da STN nº 157 de 2011.
A unidade responsável pela apuração de custos no âmbito do MPDFT é a Seção de Acompanhamento de Custos (Seac/SOF), dentro da Secretaria de Orçamento e Finanças.
A metodologia de apuração de custos no Órgão divide suas subunidades em dois grupos: área-fim, que enseja a área finalística do Órgão, composta pelas Promotorias de Justiça e Procuradorias de Justiça; e a área-meio, composta pelas demais unidades que dão suporte ao funcionamento da área-fim.
Composição dos Custos no MPDFT – Por Tipo de Área (%)
|
Área-fim |
78% |
|
Área-meio |
22% |
Fonte: Seção de Acompanhamento de Custos 2021.
Composição dos Custos no MPDFT – Por Tipo de Área (R$)
|
Área-fim |
547.916.806,57 |
|
Área-meio |
150.861.295,80 |
|
Total |
698.778.102,37 |
Fonte: Seção de Acompanhamento de Custos 2021.
Os custos são apurados a partir dos gastos com: pagamento de pessoal; material de consumo; diárias e passagens; cursos internos, externos e pós-graduação; contratos de vigilância, brigada de incêndio, limpeza, copeiragem, recepcionista, manutenção predial, manutenção de elevadores, locações e cessões de uso; energia elétrica; água e esgoto.
TOTAL DOS CUSTOS – ÁREA-FIM (R$)
|
Item de custo |
Área-fim |
% |
|
Pagamento de pessoal |
520.257.838,58 |
94,95% |
|
Demais custos |
27.659.038,91 |
5,05% |
Fonte: Seção de Acompanhamento de Custos 2021.
DEMAIS CUSTOS – ÁREA-FIM (R$)
|
Item de custo |
Área-Fim |
% |
|
Vigilância armada e desarmada |
12.566.170,79 |
45,43% |
|
Limpeza e conservação |
4.468.160,29 |
16,15% |
|
Energia elétrica |
2.493.812,85 |
9,02% |
|
Manutenção predial |
2.261.553,18 |
8,18% |
|
Copeiragem e garçom |
1.979.943,25 |
7,16% |
|
Recepção |
1.093.834,90 |
3,95% |
|
Brigada particular contra incêndio |
989.133.04 |
3,58% |
|
Locação de imóvel |
746.541,31 |
2,70% |
|
Combustível |
242.947,79 |
0,88% |
|
Água e esgoto |
220.399,73 |
0,80% |
|
Diária |
182.656,37 |
0,66% |
|
Manutenção de elevador |
146.498,90 |
0,53% |
|
Passagem |
141.785,52 |
0,51% |
|
Material de consumo |
120.389,55 |
0,44% |
|
Cessão de uso de área |
5.211,44 |
0,02% |
Fonte: Seção de Acompanhamento de Custos 2021.
TOTAL DOS CUSTOS – ÁREA-MEIO (R$)
|
Item de custo |
Área-meio |
% |
|
Pagamento de pessoal |
140.805.806,77 |
93,33% |
|
Demais custos |
10.055.539,72 |
6,67% |
Fonte: Seção de Acompanhamento de Custos 2021.
DEMAIS CUSTOS – ÁREA-MEIO (R$)
|
Item de custo |
Área-Meio |
% |
|
Vigilância armada e desarmada |
3.140.871,27 |
31,24% |
|
Limpeza e conservação |
1.591.211,87 |
15,82% |
|
Material de consumo |
1.587.104,07 |
15,78% |
|
Energia elétrica |
954.351,24 |
9,49% |
|
Manutenção predial |
829.257,56 |
8,25% |
|
Brigada particular contra incêndio |
707.175,023 |
7,03% |
|
Copeiragem e garçom |
646.156,76 |
6,43% |
|
Recepção |
342.248,54 |
3,40% |
|
Combustível |
106.306,49 |
1,06% |
|
Água e esgoto |
62.988,24 |
0,63% |
|
Manutenção de elevador |
58.560,38 |
0,58% |
|
Diária |
16.817,63 |
0,17% |
|
Passagem |
12.490,65 |
0,12% |
Fonte: Seção de Acompanhamento de Custos 2021.
A distribuição dos custos de pessoal ativo e dos demais custos vem mantendo uma relação aproximada, observada no Relatório de Gestão de 2020: 94,95% em pessoal ativo e 5,05% nos demais custos na área-fim; e 93,33% em pessoal ativo e 6,67% demais custos na área-meio.
Na análise da composição dos custos, observando-se os gráficos da área-fim e da área-meio, evidencia-se a concentração dos custos apurados com pessoal ativo e colaboradores, o equivalente a mais de 90% do total de custos. Nos demais custos, os contratos de prestação de serviços de vigilância e de limpeza possuem a maior participação nas duas áreas. Por outro lado, os custos com material de consumo têm expressiva concentração na área-meio, por ser esta a responsável pela aquisição dos materiais de uso geral do Órgão.
A divulgação do Relatório de Custos ocorre no segundo mês, após o fim de cada quadrimestre, a partir da qual é possível analisar a comparação feita com os respectivos quadrimestres do ano anterior, permitindo avaliar a evolução e a eficiência dos gastos.
PARTICIPAÇÃO NOS CUSTOS POR ÁREA DE ATUAÇÃO
|
Item de custo |
ÁREA-FIM (%) |
ÁREA-MEIO (%) |
|
Pagamento de pessoal |
79% |
21% |
|
Vigilância armada e desarmada |
80% |
20% |
|
Limpeza e conservação |
74% |
26% |
|
Material de consumo |
7% |
93% |
|
Energia elétrica |
72% |
28% |
|
Manutenção predial |
73% |
27% |
|
Brigada particular contra incêndio |
58% |
42% |
|
Copeiragem e garçom |
75% |
25% |
|
Recepção |
76% |
24% |
|
Combustível |
70% |
30% |
|
Água e esgoto |
78% |
22% |
|
Manutenção de elevador |
71% |
29% |
|
Diária |
92% |
8% |
|
Passagem |
92% |
8% |
|
Cessão de uso de área |
100% |
0% |
|
Locação de imóvel |
100% |
0% |
Fonte: Seção de Acompanhamento de Custos 2021.
Uma análise relevante é feita quando se obtém a relação entre o custo por atos praticados pelas coordenadorias e o total da população da região administrativa, o que permite comparar o custo por ato praticado para cada mil habitantes de cada região administrativa e evidenciar a melhor área de eficiência.
Quando se utilizou a metodologia mencionada, o custo por ato praticado para cada mil habitantes do Distrito Federal (DF) foi de R$ 0,15 em 2021, com 1.449.781 atos praticados e a estimativa da população do DF de 3.293.687,44 de habitantes (Anuário Estatístico do Distrito Federal - Companhia de Planejamento do Distrito Federal – Codeplan/Base 2010). Como não existe ainda senso recente, calculou-se a Taxa Média Geométrica de Crescimento Anual (TMGCA) de 2010, método estatístico do Anuário Estatístico do Distrito Federal (http://www.codeplan.df.gov.br), com a qual os números foram atualizados até dezembro de 2021.
Desafios e oportunidades
O principal desafio é a massiva utilização da ferramenta de custos pelos gestores e responsáveis pelas Coordenadorias das Promotorias, o que poderia impulsionar melhores decisões na otimização da alocação dos recursos, classificados como discricionários. Afinal, a difusão da cultura de tomada de decisão com base na informação de custos pode retornar com resultados efetivos acerca da atuação da Instituição para a sociedade.
Na apuração dos custos, outro desafio é o comprometimento das áreas em prestar as informações necessárias e tempestivas para que seja possível gerar as análises com brevidade, possibilitando a utilização pontual pelos gestores logo após o encerramento dos períodos de levantamento de dados.
Gestão de Pessoas
A Portaria Normativa PGJ nº 585, de 29 de outubro de 2018, instituiu a Política de Gestão de Pessoas, a qual estabelece os princípios e as diretrizes que devem nortear as ações e os processos de gestão de pessoas no âmbito do MPDFT.
O objetivo da referida política é promover o desenvolvimento de profissionais competentes e motivados para exercer suas responsabilidades, bem como comprometidos com a efetividade da atuação institucional e com a melhoria da gestão pública, de forma alinhada às estratégias da Organização.
Para a implementação das ações, cada uma das unidades responsáveis pela gestão de pessoas no Órgão estabelece iniciativas e metas anuais relacionadas aos objetivos estratégicos da Instituição.
Em 2014, foi instituído o Comitê Estratégico de Gestão de Pessoas (Cegep), responsável por monitorar e avaliar a efetividade das ações relacionadas à política de gestão de pessoas; propor novas políticas; subsidiar o dirigente máximo do MPDFT nos processos decisórios sobre gestão de pessoas; e manifestar-se nas regulamentações e uniformizações dessas políticas.
A Secretaria de Planejamento acompanha os indicadores estratégicos do MPDFT, estando sob responsabilidade da Secretaria de Gestão de Pessoas os indicadores a seguir:
|
Objetivo Estratégico |
Nome do Indicador |
Finalidade do Indicador |
Método de Cálculo |
Valor Mensurado 2021 |
|
Atrair e reter talentos |
Retenção de talentos |
Medir a capacidade do MPDFT de reter os seus talentos |
(Total de servidores do quadro permanente no início do período - Total de servidores do quadro permanente que perderam o vínculo com o MPDFT no período, excluindo-se mortes e aposentadorias) / Total de servidores do quadro permanente no início do período
|
98,22% |
|
Compatibilizar quadro funcional com demandas institucionais |
Índice de compatibilidade do quadro funcional |
Medir o grau de adequação das unidades em termos de posse da lotação adequada (quantidade e competência) |
(Nº efetivo de cargos preenchidos no Órgão) / (Nº de cargos existentes no Órgão + Saldo de vagas pendentes de implementação) |
70,70% |
Fonte: Secretaria de Gestão de Pessoas 2021.
Avaliação da força de trabalho
O quadro de pessoal permanente do MPDFT é composto por três diferentes carreiras:
- Membros do MPDFT.
- Analistas do Ministério Público da União, com formação em nível superior.
- Técnicos do Ministério Público da União com formação em nível médio.
As carreiras são constituídas pelos seguintes cargos, com as respectivas quantidades de ocupações em 31/12/2021:
|
Membros |
Quant. |
|
Procurador de Justiça |
39 |
|
Promotor de Justiça |
276 |
|
Promotor de Justiça Adjunto |
52 |
Fonte: Secretaria de Gestão de Pessoas 2021.
|
Analistas |
Quant. |
|
Analista do MPU/Medicina |
14 |
|
Analista do MPU/Apoio técnico-administrativo |
26 |
|
Analista do MPU/Saúde |
61 |
|
Analista do MPU/Apoio técnico especializado |
66 |
|
Analista do MPU/Tecnologia da informação e comunicação |
68 |
|
Analista do MPU/Perícia |
72 |
|
Analista do MPU/Direito |
470 |
Fonte: Secretaria de Gestão de Pessoas 2021.
|
Técnicos |
Quant. |
|
Técnico do MPU/Orçamento |
3 |
|
Técnico do MPU/Edificação |
11 |
|
Técnico do MPU/Saúde |
13 |
|
Técnico do MPU/Tecnologia da informação e comunicação |
43 |
|
Técnico do MPU/Segurança institucional e transporte |
104 |
|
Técnico do MPU/Administração |
827 |
Fonte: Secretaria de Gestão de Pessoas 2021.
Além dos membros e do quadro permanente de servidores, a Instituição conta com servidores de outros órgãos requisitados/cedidos para o MPDFT, pessoal sem vínculo e servidores de outros ramos do MPU com lotação provisória neste ramo.
Ao todo, são 367 membros e 2.071 servidores, distribuídos conforme os gráficos abaixo. Dos 2.071 servidores ativos, 78, ou seja, 3,77%, são pessoas com deficiência.
Membros e Servidores ativos
|
Tipo Vínculo |
Quant. |
% |
|
Lotação provisória |
3 |
0,12% |
|
Pessoal sem vínculo |
148 |
6,07% |
|
Requisitado/cedido para o MPDFT |
142 |
5,82% |
|
Quadro permanente |
1.778 |
72,93% |
|
Membro ativo |
367 |
15,06% |
|
Total: |
2.438 |
100% |
Fonte: Secretaria de Gestão de Pessoas 2021.
A carreira dos servidores do MPU é composta pelos cargos de Analista do MPU (AN) e Técnico do MPU (TC), os quais são estruturados em 3 classes e 13 padrões.
|
Distribuição de servidores em classe/padrão – Analistas |
Quant. |
% |
|
AN-C13 |
297 |
38% |
|
AN-C12 |
13 |
2% |
|
AN-C11 |
23 |
3% |
|
AN-C10 |
39 |
5% |
|
AN-C9 |
50 |
6% |
|
AN-B8 |
95 |
12% |
|
AN-B7 |
83 |
11% |
|
AN-B6 |
32 |
4% |
|
AN-B5 |
108 |
14% |
|
AN-B4 |
1 |
0% |
|
AN-A3 |
22 |
3% |
|
AN-A1 |
14 |
2% |
|
TOTAL |
777 |
100% |
Fonte: Secretaria de Gestão de Pessoas 2021.
|
Distribuição de servidores em classe/padrão – Técnicos |
Quant. |
% |
|
TC-C13 |
500 |
50% |
|
TC-C12 |
20 |
2% |
|
TC-C11 |
42 |
4% |
|
TC-C10 |
66 |
7% |
|
TC-C9 |
107 |
11% |
|
TC-B8 |
69 |
7% |
|
TC-B7 |
123 |
12% |
|
TC-B6 |
16 |
2% |
|
TC-B5 |
23 |
2% |
|
TC-B4 |
1 |
0% |
|
TC-A3 |
13 |
1% |
|
TC-A1 |
21 |
2% |
|
TOTAL |
1001 |
100% |
Fonte: Secretaria de Gestão de Pessoas 2021.
Distribuição por gênero
|
Gênero – membros ativos |
Quant. |
% |
|
Feminino |
152 |
41,42% |
|
Masculino |
215 |
58,58% |
Fonte: Secretaria de Gestão de Pessoas 2021.
|
Gênero – servidores ativos |
Quant. |
% |
|
Feminino |
1.082 |
52,25% |
|
Masculino |
989 |
47,59% |
Fonte: Secretaria de Gestão de Pessoas 2021.
Distribuição por faixa etária
|
Faixa etária - membros ativos |
Quant. |
% |
|
71 a 74 anos |
9 |
2,45% |
|
61 a 70 anos |
23 |
6,27% |
|
51 a 60 anos |
114 |
31,06% |
|
41 a 50 anos |
153 |
41,69% |
|
31 a 40 anos |
68 |
18,53% |
|
0 a 30 anos |
0 |
0,00% |
Fonte: Secretaria de Gestão de Pessoas 2021.
|
Faixa etária - servidores ativos |
Quant. |
% |
|
71 a 74 anos |
4 |
0,19% |
|
61 a 70 anos |
64 |
3,09% |
|
51 a 60 anos |
324 |
15,65% |
|
41 a 50 anos |
657 |
31,72% |
|
31 a 40 anos |
865 |
41,77% |
|
0 a 30 anos |
157 |
7,58% |
Fonte: Secretaria de Gestão de Pessoas 2021.
Distribuição por raça
|
Raça/cor – membros ativos |
Quant. |
% |
|
Amarela |
1 |
0,27% |
|
Branca |
215 |
58,59% |
|
Indígena |
2 |
0,54% |
|
Parda |
63 |
17,17% |
|
Preta |
5 |
1,36% |
|
Não informado |
81 |
22,07% |
Fonte: Secretaria de Gestão de Pessoas 2021.
|
Raça/cor – servidores ativos |
Quant. |
% |
|
Amarela |
38 |
1,83% |
|
Branca |
1.061 |
51,23% |
|
Indígena |
6 |
0,29% |
|
Parda |
750 |
36,22% |
|
Preta |
120 |
5,79% |
|
Não informado |
96 |
4,64% |
Fonte: Secretaria de Gestão de Pessoas 2021.
Evolução do quadro de pessoal
|
Tipo vínculo |
2019 |
2020 |
2021 |
|
Quadro permanente |
1.806 |
1.800 |
1.778 |
|
Cedido para o MPDFT |
156 |
149 |
145 |
|
Pessoal sem vínculo |
116 |
136 |
148 |
|
Total servidores |
2.078 |
2.085 |
2.071 |
|
Membro ativo |
384 |
378 |
367 |
|
Total geral |
2.462 |
2.463 |
2.438 |
Fonte: Secretaria de Gestão de Pessoas 2021.
Distribuição da força de trabalho
Distribuição por área
|
Distribuição da força de trabalho |
Área-fim |
Área-meio |
|
Servidores do quadro permanente |
589 |
1.106 |
|
Servidores cedidos/requisitados/lotação provisória |
26 |
116 |
|
Sem vínculo |
107 |
41 |
|
TOTAL |
722 |
1.263 |
|
% |
36% |
64% |
Fonte: Secretaria de Gestão de Pessoas 2021.
Além desses, há 86 servidores do quadro permanente do MPDFT que se encontram sem lotação (em lotação provisória, cessão, requisição, licença sem vencimento ou à disposição da Secretaria de Gestão de Pessoas), razão pela qual não foram contabilizados na distribuição da força de trabalho entre a área-fim e a área-meio.
Programa de estágio
O programa de estágio do MPDFT sofreu cortes nos últimos anos. Em 2020, foi autorizada a realização de processo seletivo para a contratação de estagiários, cujo edital foi lançado no mesmo ano. No entanto, ele não foi realizado, em razão das medidas impostas para a contenção do contágio do novo coronavírus. Foram mantidos, então, em 2021, 23 estagiários nas áreas de Psicologia e Serviço Social.
O 1º Processo Seletivo/2021 para a contratação de estagiários de nível superior dos cursos de Direito, Arquivologia, Comunicação, Contabilidade, Engenharia Ambiental, Geologia, Informática, Psicologia e Serviço Social ocorreu ao final do exercício. Houve 2.485 inscritos no certame, mas apenas 756 realizaram a prova e 362 foram aprovados no processo. A convocação ocorrerá a partir do exercício de 2022. O edital e demais informações podem ser acessados em: 13455-1-processo-seletivo-de-estagiarios-ns-2021
O programa "Adolescente Aprendiz" também foi reduzido. Entretanto, não foi extinto, em razão de seu objetivo social, uma vez que visa atender adolescentes em situação de vulnerabilidade social e econômica, com foco na questão da violência sexual.
Prestação de serviço voluntário
O Órgão possui regulamentado o serviço voluntário, com o objetivo de estimular a consciência da responsabilidade social, a solidariedade, a cooperação e os deveres cívicos. O serviço voluntário é uma atividade não remunerada, prestada por pessoa física, sem vínculo empregatício, funcional ou qualquer obrigação de natureza trabalhista, previdenciária ou afim.
|
ESTAGIÁRIOS E OUTROS |
2019 |
2020 |
2021 |
|
Estagiários de nível superior |
27 |
19 |
23 |
|
Estagiários de nível médio |
0 |
0 |
0 |
|
Adolescentes aprendizes |
21 |
21 |
21 |
|
Prestadores de serviço voluntário |
183 |
182 |
166 |
|
TOTAL |
231 |
222 |
210 |
Fonte: Secretaria de Gestão de Pessoas 2021.
Dimensionamento da Força de Trabalho (DFT):
A avaliação da força de trabalho no MPDFT é realizada pela unidade responsável pelo diagnóstico organizacional que, por meio de consultoria de gestão, realiza:
a) Reunião preliminares de diagnóstico.
b) Dimensionamento da Força de Trabalho.
c) Mapa de gargalo (reuniões e plano de ação).
d) Parecer técnico.
e) Mapeamento de competências e referenciais de desempenho.
- Síntese da Consultoria de Gestão concluída em 2021:
-
4 macrounidades foram concluídas;
-
19 subunidades foram dimensionadas;
-
87 servidores participaram do processo;
-
240 produtos foram identificados;
-
1.072 atividades foram analisadas;
-
10 reuniões de mapa de gargalo foram realizadas.
- Unidades que participaram da consultoria de gestão em 2021:
Coordenadoria das Promotorias de Justiça de Recanto das Emas (CPJRE)
-
4 subunidades analisadas;
-
14 servidores;
-
4 reuniões de mapa de gargalo.
- Centro de Produção, Análise, Difusão e Segurança da Informação (CI) – teve início em 2020 e foi concluído em 2021.
-
6 subunidades analisadas;
-
34 servidores;
-
6 reuniões de mapa de gargalo.
Observação: Foram mapeadas as competências específicas (técnicas) e os referenciais de desempenho do CI.
- Coordenadoria das Promotorias de Justiça de Águas Claras (CPJAC)
-
5 subunidades analisadas;
-
22 servidores participaram.
- Coordenadoria das Promotorias de Justiça de Brazlândia (CPJBZ)
-
4 subunidades analisadas;
-
17 servidores envolvidos.
Encontram-se na segunda fase da Consultoria de Gestão as seguintes unidades:
- Câmaras de Coordenação e Revisão criminal;
- Coordenadorias da Promotorias de Justiça de Santa Maria;
- Coordenadorias da Promotorias de Justiça do Gama.
Estratégia de recrutamento e alocação de pessoas:
A seleção para provimento de cargos efetivos ocorre por concurso público, nos moldes previstos na Constituição Federal de 1988 e na Lei nº 8.112/1990. No Ministério Público da União, o processo é conduzido pela Procuradoria-Geral da República, cabendo aos demais ramos apenas a prestação de informações quanto às vagas existentes, considerando que não houve autorização nos últimos anos para incremento do quadro.
Para melhor alocação de pessoas, o MPDFT conta com o Programa Permanente de Movimentação Interna, o qual permite, periodicamente, a alteração de lotação pelos servidores do Órgão.
Cabe mencionar, ainda, que está em andamento o Projeto "Dimensionamento da Força de Trabalho", o qual, além de informações quantitativas acerca da necessidade de pessoal, traz dados qualitativos. Após o dimensionamento de todas as unidades, a área de Gestão de Pessoas terá informações mais técnicas e objetivas acerca da distribuição de pessoal, o que auxiliará na alocação de servidores. O processo é atualmente conduzido pela Secretaria de Educação e Desenvolvimento Corporativo (Secor).
Avaliação em estágio probatório
O processo de avaliação ocorre semestralmente, e os servidores aprovados adquirem estabilidade, passando a fazer jus a uma série de benefícios, entre eles a Licença para Interesse Particular, a Licença para Capacitação, entre outros.
Em cada período, o servidor tem o seu desempenho acompanhado por meio do Plano de Desempenho Individual (PDI) e da Ficha de Estágio Probatório (FEP).
A aprovação no Estágio Probatório consiste na obtenção de aproveitamento, na média aritmética das notas, superior a 60%, ressaltando que todos os servidores alcançaram nota suficiente para aprovação.
Avaliação de desempenho por competências
O Processo de Avaliação de Desempenho é realizado anualmente, quando são avaliados todos os servidores que ingressaram no MPU, inclusive os que estiverem cumprindo estágio probatório e os que já alcançaram o final da carreira. Não são avaliados os servidores que exercem de CC-02 a CC-07, os que estejam licenciados para mandato classista e os afastados para desempenho de mandato eletivo.
O processo avaliativo subsidia a:
-
Progressão Funcional, que consiste na movimentação do servidor de um padrão para o seguinte, dentro de uma mesma classe, observado o interstício de um ano, condicionada à obtenção de resultado igual ou superior à média de 3,8 pontos.
-
Promoção na carreira, que consiste na movimentação do servidor do último padrão de uma classe para o primeiro padrão da classe seguinte, observado o interstício de um ano em relação à progressão funcional imediatamente anterior. Tal promoção é condicionada, cumulativamente, à obtenção de resultado igual ou superior à média de 3,8 pontos, numa escala de 5,0, e à participação em ações de treinamento e desenvolvimento, satisfazendo o mínimo de 100 horas-aula.
No exercício, 1.399 servidores foram efetivados para progressão funcional/ promoção na carreira, com efeito financeiro, sendo: 1.147 progredidos e 252 promovidos.
Mapeamento de competências
O MPDFT possui mapeadas as competências comuns e gerenciais, que estão com ações em curso para seu desenvolvimento. O Mapeamento de Competências Específicas, a partir de 2019, passou a integrar o produto Consultoria de Gestão, em conjunto com o Dimensionamento do Trabalho e o Mapeamento de Gargalo.
Está em andamento na atividade-fim do MPDFT o produto completo, de acordo com as necessidades de cada unidade.
Evolução da despesa com pessoal
Os gráficos seguintes refletem a evolução da despesa de pessoal e não consideram as despesas com a contribuição previdenciária e os benefícios assistenciais pagos aos membros e servidores da casa.
Evolução das despesas com pessoal ativo
|
Pessoal Ativo |
2020 (R$) |
% |
2021 (R$) |
% |
Variação (R$) |
|
Vencimentos e vantagens fixas |
601.546.013 |
95,07% |
617.509.256 |
95,25% |
15.963.243 |
|
Patronal Funpresp |
8.732.734 |
1,38% |
8.844.271 |
1,37% |
111.537 |
|
Sentenças judiciais |
2.330.813 |
0,37% |
2.286.031 |
0,35% |
-44.782 |
|
Exercícios anteriores |
4.629.609 |
0,73% |
2.843.450 |
0,44% |
-1.786.159 |
|
Despesas variáveis |
13.223.220 |
2,09% |
14.378.370 |
2,22% |
1.155.150 |
|
Outras despesas |
2.289.945 |
0,36% |
2.430.046 |
0,37% |
140.101 |
|
Total |
632.752.334 |
100% |
648.291.424 |
100,00% |
15.539.090 |
Fonte: Tesouro Gerencial 2020/2021.
Evolução das despesas com pessoal inativo
|
Pessoal Inativo |
2020 (R$) |
% |
2021 (R$) |
% |
Variação (R$) |
|
Aposentadorias e reformas |
74.915.846 |
92,45% |
76.200.302 |
95,82% |
1.284.456 |
|
Sentenças judiciais |
474.518 |
0,59% |
506.590 |
0,64% |
32.072 |
|
Exercícios anteriores |
5.639.473 |
6,96% |
2.812.917 |
3,54% |
-2.826.556 |
|
Total |
81.029.837 |
100,0% |
79.519.809 |
100% |
-1.510.029 |
Fonte: Tesouro Gerencial 2020/2021.
Evolução das despesas com pensionistas
| Pensões | 2020 (R$) | % | 2021 (R$) | % | Variação (R$) |
| Pensões | 21.097.171 | 94,85% | 21.455.685 | 98,44% | 358.514 |
| Exercícios anteriores | 1.145.452 | 5,15% | 340.861 | 1,56% | -804.591 |
| Total | 22.242.623 | 100,00% | 21.796.546 | 100,00% | -446.077 |
Fonte: Tesouro Gerencial 2020/2021.
Evolução da despesa com pessoal
|
Despesa com pessoal |
2020 (R$) |
2021 (R$) |
Variação (R$) |
|
Ativo |
632.752.334 |
648.291.424 |
15.539.090 |
|
Inativo |
81.029.837 |
79.519.809 |
-1.919.730 |
|
Pensionista |
22.242.623 |
21.796.546 |
-446.077 |
|
Total |
736.024.794 |
749.607.779 |
13.582.985 |
Fonte: Tesouro Gerencial 2020/2021.
O aumento do valor total decorre de diversos fatores, entre eles:
-
Pagamento do 1/3 de férias acumuladas de membros e servidores usufruídas e pagas em 2021.
-
Aumento na gratificação por exercício cumulativo de ofício.
-
Indenização de licença-prêmio.
-
Pagamento de passivos.
Concessão de Assistência Médico-Hospitalar (Assistência suplementar)
A assistência médico-hospitalar foi regulamentada pela Resolução CNMP nº 223, de 16 de dezembro de 2020, e pela Portaria PGR/MPU nº 29, de 11 de março de 2021.
No âmbito do Ministério Público da União, a assistência médico-hospitalar foi inicialmente proporcionada apenas aos membros, conforme texto original da Portaria PGR/MPU nº 29/2021. A norma previu o ressarcimento individual dos gastos com a contribuição e o custeio do Plan-Assiste, realizados pelos membros ativos e inativos do MPU e relativos ao beneficiário titular e a seus dependentes.
Por meio do Ato Conjunto PGR/PGT/PGJM/PGJDFT nº 1, de 28 de maio de 2021, fixou-se o limite de 5% do subsídio do membro para o ressarcimento, sendo deduzida do valor a ser ressarcido a contrapartida da União para o financiamento do Plan-Assiste.
Ao final do ano de 2021, foi publicada a Portaria PGR/MPU nº 146, de 29 de dezembro de 2021, que alterou a Portaria PGR/MPU nº 29, incluindo os servidores no programa. No mesmo dia, editou-se o Ato Conjunto PGR/PGT/PGJM/PGJDFT nº 2, com efeitos a partir de 1º de janeiro de 2022, alterando o limite do ressarcimento dos membros para 8% do subsídio e estabelecendo, para os servidores, o limite de 5% da remuneração composta pelo vencimento básico, pela Gratificação de Atividade do Ministério Público da União (GAMPU), pelo cargo em comissão, pelo cargo de natureza especial e pela função de confiança. A despesa com o referido auxílio somou R$ 2.554.931,63 (Fonte: Tesouro Gerencial 2021).
Remuneração e ocupação de funções comissionadas
- Base legal:
a) Remuneração dos membros do MPU: Lei nº 10.477, de 27 de junho de 2002.
b) Remuneração de servidores do MPU: Lei 13.316, de 20 de julho de 2016.
http://www.transparencia.mpf.mp.br/conteudo/gestao-de-pessoas/estrutura-remuneratoria/
|
Cargos em comissão ocupados |
Quant. |
% |
|
Servidores do quadro |
478 |
72,1% |
|
Servidores de outros órgãos |
37 |
5,6% |
|
Sem vínculo |
148 |
22,3% |
|
Total |
663 |
100,0% |
|
Funções de confiança ocupadas |
Quant. |
% |
|
Servidores do quadro |
703 |
87,0% |
|
Servidores de outros órgãos |
105 |
13,0% |
|
Total |
808 |
100,0% |
Fonte: Secretaria de Gestão de Pessoas 2021.
Cargos e funções gerenciais – por gênero
|
Funções/cargos gerenciais |
Quant. |
% |
|
Mulheres |
801 |
54,5% |
|
Homens |
670 |
45,5% |
|
TOTAL |
1471 |
100% |
Fonte: Secretaria de Gestão de Pessoas 2021.
Cargos e funções gerenciais – por vínculo
|
Funções/cargos gerenciais |
Quant. |
% |
|
Efetivos |
1323 |
90% |
|
Não efetivos |
148 |
10% |
|
TOTAL |
1471 |
100% |
Fonte: Secretaria de Gestão de Pessoas 2021.
Evolução do teletrabalho
Em 2021, a Portaria Conjunta PGJ/CG nº 1, de 20 de agosto de 2021, estabeleceu regras para a retomada das atividades presenciais de forma gradual, progressiva e sistematizada, iniciada a partir de 20 de setembro daquele ano.
Verificando-se uma diminuição na curva de transmissão e em atendimento à regulamentação da Procuradoria-Geral da República, que definia o limite de 50% de servidores em regime remoto, foi publicada, em 16 de dezembro de 2021, a Portaria Conjunta PGJ/CG nº 4, estabelecendo o retorno às atividades presenciais e a reabertura do atendimento ao público externo, a partir de 7 de janeiro de 2022.
Procedimentos administrativos disciplinares
Durante o ano, estiveram em andamento 16 comissões de sindicância e de processo administrativo disciplinar, instauradas em 2020 e 2021. Dessas, 8 foram finalizadas em 2021, sendo quatro arquivadas, uma com decisão pela advertência e três com decisão pela suspensão, convertida em multa.
Especificamente em 2021, foram instauradas duas comissões de sindicância e uma comissão de processo administrativo disciplinar no MPDFT. Dessas, duas foram instauradas para apurar danos ao erário e uma para apurar falta administrativa.
Ao final do exercício, restaram oito comissões ainda em andamento. Dessas, sete foram instauradas em 2020 e uma em 2021.
Riscos, oportunidades e perspectivas
Risco: Perda de pessoal qualificado e treinado.
|
Desligamentos em 2021 |
Quant. |
% |
|
Aposentadoria |
10 |
12,66% |
|
Exoneração (incluído servidores sem vínculo) |
29 |
36,71% |
|
Posse em cargo inacumulável |
10 |
12,66% |
|
Remoção |
17 |
21,52% |
|
Falecimento |
1 |
1,27% |
|
Retorno ao órgão de origem |
12 |
15,19% |
|
Total |
79 |
100,00% |
Fonte: Secretaria de Gestão de Pessoas 2021.
Atualmente, é realizada pesquisa sobre o motivo de desligamento com os servidores egressos. Foi verificado que a limitação de oportunidades de crescimento é uma das principais razões pelas quais os servidores deixam a Casa.
A administração tem buscado meios que possibilitem a retenção de talentos, entre os quais o investimento em ações relacionadas à qualidade de vida do servidor. Há, também, o Programa Permanente de Movimentação Interna, que permite, periodicamente, a alteração de lotação pelos servidores do Órgão. Estão sendo realizadas entrevistas com os servidores relotados, objetivando detectar os motivos das movimentações e, dessa forma, identificar possíveis oportunidades de melhorias internas.
Risco: Aposentadorias.
|
|
Membros |
Servidores |
|
1998-2021 |
79 |
94 |
|
2022 |
3 |
8 |
|
2023 |
4 |
9 |
|
2024 |
13 |
8 |
|
2025 |
19 |
14 |
|
2026 |
13 |
19 |
|
2027 |
11 |
14 |
|
Total |
142 |
166 |
Fonte: Secretaria de Gestão de Pessoas 2021.
Capacitação: estratégia e números
No âmbito do MPDFT, o tema de desenvolvimento de pessoas está sob a responsabilidade da Secretaria de Educação e Desenvolvimento Corporativo (Secor) e se divide em Diagnóstico Organizacional, Treinamento e Acompanhamento de Servidor. A Secor é a unidade responsável pelo objetivo estratégico “desenvolver conhecimentos, habilidades e atitudes necessárias à plena atuação do MPDFT”.
Ao longo dos anos de 2020 e 2021, a estratégia da Secor teve como foco o aperfeiçoamento do apoio à atividade-fim, realizando ações educacionais diversas a partir do Levantamento de Necessidades de Aprendizagem realizado em 2019.
Com relação à gestão estratégica, a maioria dessas ações educacionais atendem a projetos específicos da Instituição, e uma parte guarda relação com o objetivo estratégico “desenvolver conhecimentos, habilidades e atitudes necessárias à plena atuação do MPDFT” ou com os objetivos da perspectiva “Resultados para a Sociedade”.
Na área de capacitação, a estratégia adotada pelo MPDFT foi otimizar recursos, investindo em ensino a distância (EaD). Entretanto, o número de videoaulas gravadas foi reduzido, e as atividades presenciais foram canceladas durante o biênio de 2020-2021, em decorrência da pandemia.
Por outro lado, houve o investimento na realização de ações educacionais, via streaming, tecnologia adequada para enviar informações multimídia, por meio da transferência contínua de dados, utilizando redes de computadores e internet.
Destaca-se o compartilhamento, com a sociedade, de atividades educacionais a distância, via plataforma Moodle no sítio do MPDFT, além do oferecimento, em parceria com os ofícios da atividade-fim, de atividades EAD e telepresenciais para o cumprimento de sursis.
Ações educacionais em 2021
Ações educacionais internas
|
Quantidade de ações educacionais |
432 |
|||||
|
Quantidade de capacitados |
2489 |
|||||
|
Horas |
39.130 |
|||||
Fonte: Secretaria de Educação Corporativa 2021.
Ações educacionais externas
|
Quantidade de cursos |
20 |
|
Quantidade de vagas compradas |
99 |
Fontes: Sistema de Gestão de Pessoas (Mentorh); Controle interno; Tabularium; Moodle; Zoom 2021.
Ações educacionais internas por cargo
|
Procuradores |
7 |
|
|
Promotores |
100 |
|
|
Analistas |
759 |
|
|
Técnicos |
1.439 |
|
|
Outros |
184 |
|
|
Total |
2489 |
|
Fonte: Secretaria de Educação Corporativa 2021.
Ações educacionais planejadas e demandadas
|
Ações planejadas pela Secor/Administração Superior |
70 |
|
Ações demandadas pelas áreas |
48 |
Fonte: Secretaria de Educação Corporativa 2021.
Visualizações do YouTube
O YouTube tem duas funções para a área de educação corporativa da Secor: ancorar videoaulas a serem publicadas na EAD (Moodle) e realizar as transmissões ao vivo das ações educacionais telepresenciais, como cursos e seminários.
|
Total de visualizações |
74.652 |
|
Total de inscritos |
1.096 |
Fonte: Secretaria de Educação Corporativa 2021.
O MPDFT possui os vídeos no YouTube no modo “público” e no modo “não listado” (não público).
Acesso ao Moodle pela internet – sociedade
|
Comunidades virtuais |
2.364 participantes |
|
|
Cursos autoinstrucionais |
1.723 participantes |
|
Fonte: Secretaria de Educação Corporativa 2021.
Programa de Pós-Graduação:
O Programa de Pós-graduação do MPDFT foi retomado em 2021 como uma das prioridades da atual administração, que é a profissionalização e a valorização de membros e servidores. Para isso, ao orçamento de capacitação foi incrementado R$ 250.000,00. Parte desse montante não foi executado em 2021, e o recurso foi transferido para outras ações educacionais. Alguns dos cursos autorizados em 2021 continuam em 2022, mantendo-se a bolsa autorizada.
Por se tratar de um programa de custeio parcial, foi adotada a modalidade de reembolso ao membro ou servidor contemplado, a cada mensalidade paga, facilitando a gestão e execução do custeio.
Durante o período, 34 integrantes, entre membros e servidores, foram contemplados com bolsas parciais de pós-graduação lato e strictu sensu. Dessas 34 bolsas concedidas, 24 tiveram os pagamentos das mensalidades de 2021 executadas. Com relação aos demais participantes, alguns desistiram do curso de pós-graduação, outros se inscreveram e não encaminharam até dezembro as notas fiscais para reembolso e outros não entraram porque a instituição de ensino não formou turma.
Riscos enfrentados na área de capacitação:
- Falta de estrutura de pessoal da unidade.
- Falta de planejamento das ações a serem realizadas.
- Levantamento de necessidade de treinamento realizado utilizando metodologia inadequada.
- Falta de dotação orçamentária para aplicar em educação corporativa.
- Falta de estrutura para gravação e tratamento de videoaulas.
- Falta de estrutura para transmissão de atividades telepresenciais.
- Dificuldade para contratação de instrutoria.
- Falta de recurso para adquirir uma plataforma adequada para a transmissão de ações educacionais.
- Rede de internet inadequada para transmissão de atividades.
- Dificuldade de contratação de instrutores internos.
- Divulgação inadequada das ações educacionais.
- Utilização inadequada de recursos tecnológicos e orçamentários.
- Problema com o Sistema de Gestão de Pessoas (Mentorh). Há muito retrabalho em decorrência da geração de informações equivocadas pelo próprio sistema.
- Falta de interoperabilidade entre Mentorh e Moodle.
- Avaliações de desempenho realizadas de forma inadequada pelas chefias imediatas.
- Falta de parceria das unidades para realizar o diagnóstico organizacional.
- Falta de recursos financeiros para investir em ações de treinamento, em sistema de gestão de pessoas, videoaulas e tradução em libras.
Oportunidades
- Utilização de tecnologia para realizar atividades de educação.
- Utilização de plataformas de transmissão de atividade via streaming.
- Investimento em curso EaD, via plataforma Moodle.
- Parceria com outras unidades do MPDFT para a realização de ações educacionais.
- Utilização de tecnologias para melhorar a qualidade das ações educacionais.
- Utilizar a tecnologia para otimizar as informações.
- Utilizar a tecnologia para aprimorar a cultura de gestão de pessoas, disseminando informações, conhecimentos e boas práticas nos processos de avaliação de pessoas aos gestores, atuais e futuros.
- Utilizar os meios de comunicação digitais para sensibilizar as chefias sobre a importância dos processos de avaliação dos servidores;
- Realização da gestão do dimensionamento da força de trabalho interligando os resultados da consultoria de gestão:
a) ao planejamento das ações educacionais a serem realizadas;
b) à avaliação de desempenho;
c) à lotação de novos servidores;
d) ao melhor aproveitamento da força de trabalho;
e) à eventual readaptação e recondução de servidor.
- Utilizar ferramentas de educação para viabilizar mudança de cultura.
Visão geral dos efeitos dos riscos e das oportunidades
- A oferta de atividades educacionais para a sociedade proporciona a aproximação com o cidadão, bem como esclarece a atuação do MPDFT.
- A oferta de ações educacionais, por meio de ensino a distância ou via streaming, para cumprimento de sursis, cria a oportunidade de o cidadão cumprir sua pena e refletir sobre o delito ou crime de menor potencial ofensivo que cometeu.
- A realização de consultoria de gestão amplia a visão do gestor sobre as atividades que a unidade desempenha, assim como proporciona oportunidade de o gestor melhorar os processos de trabalho de sua unidade, a partir dos dados fornecidos no dimensionamento da força de trabalho e do mapa de gargalo.
- O alinhamento prévio de conhecimento sobre consultoria de gestão é fundamento para esclarecer todas as fases que a unidade deverá cumprir e a entrega a ser feita pela Secor. A falta de alinhamento de conhecimento poderá comprometer os resultados do trabalho realizado.
- A sensibilização dos gestores sobre a realização adequada da avaliação de desempenho poderá melhorar a qualidade da contratação de pessoal do MPDFT, bem como melhorar as entregas da Instituição à sociedade.
Gestão de Tecnologia da Informação e Comunicação
Modelo de governança de TI
A governança de TI do MPDFT segue as boas práticas preconizadas por modelos internacionais de governança e gestão, como Cobit, Itil e BSC e está alinhada à Política Nacional de Tecnologia da Informação do Ministério Público (PNTI -MP). Ela tem por finalidade alinhar as práticas de governança e gestão de TI em todas as unidades e ramos do Ministério Público, viabilizando a elevação do grau de maturidade da governança e da gestão de TI, observados os seguintes objetivos específicos: estabelecer diretrizes para induzir o desenvolvimento e o nivelamento da governança e da gestão de TI; prover mecanismos de transparência e controle da governança e da gestão de TI; e assegurar que os riscos de TI estejam dentro de limites aceitáveis, reduzindo eventuais impactos nas atividades institucionais.
São diretrizes da PNTI-MP: conformidade com as boas práticas internacionais; participação do usuário; institucionalização de planos, políticas e modelos; fomento da cultura de gestão por processos; estruturação adequada das instâncias de governança e gestão de TI; incentivo ao comportamento ético; tratamento adequado das informações corporativas; sustentação de serviços, infraestruturas e aplicações para o apoio dos processos de negócio; e gerenciamento de competências técnicas de TI. No MPDFT, a PNTI-MP é normatizada pela Política de Governança e Gestão de Tecnologia da Informação (PGTI).
O Comitê Estratégico de Tecnologia da Informação (CETI) é a principal instância da governança de TI do MPDFT. Ao CETI compete desenvolver o Planejamento Estratégico de TI (PETI), observando as políticas e diretrizes alinhadas ao Planejamento Estratégico da Instituição (PEI); aprovar o Plano Diretor de Tecnologia da Informação (PDTI); definir as prioridades dos investimentos em TI; estabelecer as prioridades para execução dos projetos de TI; e definir padrões de funcionamento, integração, qualidade e segurança dos serviços e sistemas de TI.
Os seguintes integrantes compõem o CETI: vice-procurador-geral de Justiça Institucional (presidente do comitê); assessor de Políticas Institucionais da Procuradoria-Geral de Justiça; membro indicado pelo Conselho Superior; chefe de gabinete da Corregedoria-Geral do MPDFT; secretário-geral; e secretário de Tecnologia da Informação (secretário do comitê).
Em 2020, findou-se o ciclo anterior do PETI, 2013-2020, o mesmo ciclo do PEI do MPDFT. Ainda no ano de 2020, o MPDFT iniciou a elaboração do PEI, mas não terminou nesse ano devido a fatores decorrentes da pandemia de covid-19. Em contrapartida, a Secretaria de Tecnologia da Informação (STI) realizou diversas consultas à Secretaria de Planejamento do MPDFT, a fim obter as diretrizes estratégicas do novo PEI, para então elaborar e aprovar o novo PETI para o ciclo de 2021 a 2026.
Dessa forma, mesmo que o PETI tenha sido finalizado antes do PEI, esses possuem perfeito alinhamento estratégico.
Anualmente, a STI elabora um PDTI com as iniciativas e ações que serão executadas para que os objetivos estratégicos de TI traçados no PETI sejam alcançados.
Montante de recursos aplicados em TI
|
Montante de Recursos Aplicados em TI - 2020 (R$) |
|||
|
Grupo Despesa |
Despesas empenhadas |
Despesas pagas |
Valor pago de RP em 2020 |
|
Investimento |
21.464.849 |
18.974.395 |
59.598 |
|
Custeio |
11.118.807 |
10.267.870 |
58.586 |
|
TOTAL |
32.583.656 |
29.242.265 |
118.183 |
Fonte: Tesouro Gerencial 2020.
|
Montante de Recursos Aplicados em TI – 2021 (R$) |
|||
|
Grupo Despesa |
Despesas empenhadas |
Despesas pagas |
Valor pago de RP em 2021 |
|
Investimento |
7.296.409 |
7.204.189 |
545.053 |
|
Custeio |
4.196.648 |
4.007.814 |
2.490.454 |
|
TOTAL |
11.493.057 |
11.212.003 |
3.035.507 |
Fonte: Tesouro Gerencial 2021.
Contratações mais relevantes de recursos de TI
|
Empresa |
Contrato |
Valor (R$) |
Finalidade |
|
COMPWIRE |
075/2020 |
3.622.325,60 |
Aquisição de licenças do software de gerência de máquinas virtuais, de serviço de treinamento e de suporte técnico. |
|
NIVA |
070/2021 |
2.488.999,72 |
Contratação de empresa especializada para o fornecimento de solução de gestão e correlação de eventos de segurança da informação (Siem) e gestão da resposta a incidentes de segurança da informação (Soar), e demais serviços associados. |
|
NIVA |
063/2020 |
2.020.400,00 |
Contratação de Solução Controladora de Entrega de Aplicações (ADC) |
|
TORINO |
024/2021 |
1.712.000,00 |
Aquisição de equipamentos de informática |
|
TOCCATO |
077/2020 |
1.520.266,00 |
Contratação de licenças de software e serviços de solução de tecnologia da informação do tipo Data Discovery Qlik Sense (GRUPO 1: ITENS 1 a 7), conforme especificações constantes do edital. |
|
OSM |
002/2020 |
1.339.829,28 |
Serviços de manutenção e suporte técnico do sistema Mentorh, Sistema de Recursos Humanos do Ministério Público do Distrito Federal e Territórios (MPDFT). |
|
DECISION |
072/2021 |
1.307.000,00 |
Aquisição de plataforma de segurança de virtualização de redes para o VMware NSX, transferência de conhecimento e serviço de suporte técnico. |
|
NETSAFE |
066/2021 |
992.008,26 |
Solução de Gerenciamento de Acessos Privilegiados (Privileged Access Management – PAM), instalação, transferência de conhecimento e serviço de suporte técnico. |
|
BRASOFTWARE |
023/2021 |
889.184,24 |
Subscrição anual de licenças de uso de softwares Microsoft do tipo Suíte de Escritório. |
|
LINK DATA |
032/2021 |
881.974,86 |
Contratação de serviço continuado de manutenção e suporte técnico do software aplicativo ASI nos módulos de Patrimônio Mobiliário e Almoxarifado. |
|
ARTNET |
009/2018 |
698.499,84 |
Serviço de extensão de garantia dos equipamentos de rede (switches) da marca D-LINK, incluindo substituição de peças, ou da pilha completa, quando for o caso, serviço de suporte e atualização de firmware e de software. |
|
CLICK NET |
050/2017 |
648.998,80 |
Contratação de empresa especializada para prestação de serviço de links de comunicação de dados de alta velocidade, incluindo instalação, configuração, manutenção e serviço de suporte técnico. |
|
TORINO |
053/2021 |
535.000,00 |
Aquisição de equipamentos de informática. |
Fonte: Secretaria de Tecnologia da Informação 2021.
Obs.: Contratações acima de R$ 500.000,00.
Principais iniciativas e resultados na área de TI por Objetivo Estratégico da STI
|
Objetivo Estratégico |
Principais Iniciativas/Ações |
Principais resultados |
|
Governança e gestão de TI aprimoradas |
|
|
|
|
|
|
|
|
|
Serviços de TI disponíveis e aprimorados continuamente |
|
|
|
|
|
|
|
|
|
|
|
|
|
|
|
|
|
|
Informações, infraestrutura e serviços de TI seguros |
|
|
|
|
|
|
|
|
|
Atividades-meio e atividades-fim suportadas por soluções de TI integradas e inovadoras |
|
|
|
- disponibilização do simulador de aposentadoria; - automatização da solicitação de etiquetas para o Sistema de controle de processos físicos do MPDFT (Sisproweb ); - automatização da instalação de impressoras; - localização de pessoas e unidades; - disponibilização da funcionalidade de troca de foto funcional no cadastro da Secretaria de Gestão de Pessoas (SGP); -disponibilização dos serviços da Coordenadoria de Documentação e Informação (CDI); - disponibilização das guias do Plan-assiste; - disponibilização da funcionalidade de registro de afastamento de membros; - disponibilização do serviço de Emissão de certificado digital; - disponibilização de Consulta de saldo de horas de recesso; - aperfeiçoamento na busca por palavras-chave no diálogo com o Chatbot. |
|
|
|
|
|
|
|
|
|
|
|
|
|
|
|
|
|
|
|
|
|
|
|
|
|
|
|
|
|
|
|
|
|
|
|
|
|
|
Usuários de TI Satisfeitos |
|
|
|
|
Fonte: Secretaria de Tecnologia da Informação 2021.
Segurança da informação
As seguintes atividades foram executadas em 2021 para aprimorar a segurança da informação no MPDFT:
-
Elaboração de proposta de normativo referente ao backup e ao descarte seguro de mídias de dados, em consonância com as exigências ambientais e os requisitos de segurança da informação.
-
Definição do processo de gestão de riscos, permitindo identificar e realizar a gestão de riscos de TI no âmbito do MPDFT.
-
Implantação do Serviço de Segurança de Endpoint, tecnologia moderna para proteção de ativos de rede que inclui não apenas anti-malware, mas amplo ferramental de segurança proativa contra diferentes tipos de ameaças.
-
Implantação da Solução Controladora de Entrega de Aplicações (ADC - Application Delivery Controller) visando aprimorar o desempenho, a segurança e a disponibilidade na entrega das aplicações de TI aos usuários internos e externos do MPDFT.
-
Implantação da Solução de Gestão de Vulnerabilidades (ferramenta Tenable) para permitir a identificação, de forma proativa e recorrente, de possíveis vulnerabilidades de segurança da informação nos equipamentos e softwares da rede do MPDFT, visando evitar que ataques cibernéticos obtenham sucesso na exploração de vulnerabilidades no ambiente computacional desta Instituição;
-
Contratação de Solução de Gerenciamento de Acessos Privilegiados e de Duplo Fator de Autenticação (PAM – Privileged Access Management), objetivando prover maior proteção e controle dos acessos privilegiados realizados pelos administradores nos ativos de infraestrutura de informática.
-
Contratação de solução de gestão e correlação de eventos de segurança da informação (SIEM – Security Information and Event Management) e de solução de gestão da resposta a incidentes de segurança da informação (SOAR – Security Orchestration Automation and Response), com o intuito de identificar, de forma proativa, comportamentos maliciosos, incidentes de segurança da informação, comportamentos anômalos e outras não conformidades, gerando insumos para equipes de auditoria e de resposta a incidentes.
-
Aquisição de Plataforma de Segurança de Virtualização de Redes para o VMware (Plataforma VMware NSX), que permitirá centralizar o gerenciamento de segurança de rede para serviços virtualizados, permitindo configurações e regras avançadas para serviços, servidores ou sub-redes, além de possibilitar a automação da criação e a configuração de novos serviços de segurança para aplicações novas e existentes.
Principais desafios e ações futuras
Em 2021, o MPDFT começou a colher os frutos do aporte de recursos financeiros destinados à TI, que ocorreu em 2020. Está sendo possível solucionar diversas fraquezas que o Órgão possuía, relacionadas à falta de recursos financeiros. Contudo, ainda persistem muitos desafios, como:
- Responder à necessidade do MPDFT de teletrabalho híbrido, decorrente da readequação à nova realidade trazida pela pandemia.
- Gerenciar a segurança de TI do MPDFT, considerando que, com o modelo híbrido de teletrabalho, grande parte dos usuários acessarão a rede interna do Órgão de forma remota.
- Terceirização dos serviços de suporte técnico e desenvolvimento de sistemas, para permitir melhor aproveitamento da mão de obra interna dos servidores em atividades mais estratégicas como gestão de projetos, inovação, ciência de dados e governança.
- Viabilizar o modelo coworking como nova forma de trabalho, para otimizar o uso dos recursos utilizados, e a redução do espaço físico ocupado pela secretaria, em resposta à redução do número de pessoas que trabalharão presencialmente na unidade.
- Recomposição do quadro de servidores de TI.
Como dito em relatórios anteriores, o desafio da implantação do Processo Judicial e Extrajudicial Eletrônico, com suas funcionalidades plenas e em todo MPDFT, permanece vigente, considerando ainda que o PJe está em constante evolução e que demanda frequentes adaptações conforme surgem novas necessidades das áreas finalísticas deste Órgão.
As principais ações futuras são:
- Assegurar que as tecnologias alcancem todos os processos de trabalho.
- Transformar, otimizar e automatizar processos de trabalho já informatizados.
- Prover alta disponibilidade e continuidade dos serviços de TI, cada vez mais essenciais para o funcionamento da Instituição.
- Atender às demandas de colaboradores cada vez mais exigentes quanto ao desempenho e à eficiência dos serviços de TI.
- Conduzir o MPDFT a um novo patamar de adoção da tecnologia como aliada no alcance de sua missão constitucional, por meio da inteligência artificial, da ciência de dados e da inovação.
- Capacitar os servidores de TI utilizando gestão por competência.
- Implantar e otimizar a gestão de riscos de TI.
- Identificar, planejar e ajustar rotinas de trabalho, em atendimento às necessidades originadas da Lei Geral de Proteção de Dados (LGPD).
- Criar equipe de tratamento e resposta a incidentes cibernéticos, dando a devida ênfase aos incidentes relacionados a dados pessoais.
Gestão Patrimonial e de Infraestrutura
Conformidade legal
As atividades e os serviços contratados pela Secretaria de Projetos e Obras (SPO) são disciplinados pelas normas brasileiras elaboradas pela ABNT (Associação Brasileira de Normas Técnicas), pelo Manual de Obras Públicas-Edificações (Práticas da Seap) da Secretaria de Estado da Administração e do Patrimônio, pela Resolução Conama nº 307/2002 e suas alterações, pelas Resoluções dos Órgãos do Sistema Confea/Crea e CAU, assim como códigos, leis, decretos, portarias e normas federais e distritais, com destaque para os seguintes: Lei nº 8.666/1993, Lei nº 10.520/2002, Lei Complementar nº 123/2006, Decreto nº 3.555/2000, Decreto nº 5.450/2005 e Instrução Normativa nº 05/2017 da Seges/MP.
Principais investimentos de capital (infraestrutura e equipamentos):
- Recuperação da laje de segurança do edifício-sede.
- Recuperação da cobertura e da fachada do edifício das Promotorias de Justiça do Gama.
- Adequações para a Sala de Situação.
- Instalação de piso vinílico no corredor do serviço médico do edifício-sede.
- Substituição de central de alarme de incêndio.
- Fornecimento e instalação de porta de vidro temperado no Edifício Brasília II.
- Acessibilidade da área interna dos edifícios das Promotorias de Justiça da Infância e da Juventude de Samambaia e do Paranoá.
No ano de 2020, em função do regime de teletrabalho adotado durante a pandemia, observou-se uma redução expressiva no consumo de água e de energia elétrica nas unidades do MPDFT. Em 2021, mesmo com o retorno gradual ao trabalho presencial, verifica-se a manutenção do consumo em níveis próximos aos de 2020.
-
CONSUMO DE ÁGUA EM M3 [CAESB+APROVEITAMENTO DE ÁGUA]
EDIFICAÇÃO
2019
2020
2021
Próprio [Água]
30.116
16.815
12.152
Locado/Sessão
1.165
592
466
Total
31.281
17.407
12.618
Fonte: Secretaria de Projetos e Obras 2021.
|
CONSUMO DE ENERGIA EM KWH |
|||
|
EDIFICAÇÃO |
2019 |
2020 |
2021 |
|
Próprio [Energia] |
5.485.116 |
3.744.383 |
3.892.771 |
|
Locado/Sessão |
170.728 |
95.882 |
78.270 |
|
Total |
5.655.844 |
3.840.265 |
3.971.041 |
Fonte: Secretaria de Projetos e Obras 2021.
Consumo de água do sistema de aproveitamento de água pluvial
Ao longo dos últimos anos, o MPDFT tem investido nos sistemas de armazenamento e aproveitamento de água da chuva.
|
CONSUMO POR UNIDADE [M3] |
||||||
|
UNIDADE |
Aproveitamento |
|||||
|
2017 |
2018 |
2019 |
2020 |
2021 |
TOTAL |
|
|
Taguatinga |
221,34 |
381,19 |
305,07 |
181,06 |
263,49 |
1.352,15 |
|
Brasília II |
- |
4,64 |
384,81 |
488,37 |
652,96 |
1.530,78 |
|
São Sebastião |
50,09 |
198,70 |
235,69 |
126,75 |
146,50 |
757,73 |
|
Gama |
- |
- |
- |
146,23 |
159,75 |
305,98 |
|
Ed. Sede |
- |
- |
- |
137,66 |
- |
137,66 |
|
Infância |
- |
- |
- |
101,00 |
368,72 |
469,72 |
|
Samambaia |
- |
- |
- |
91,14 |
275,48 |
366,62 |
|
Paranoá |
- |
- |
- |
69,33 |
63,00 |
132,33 |
|
Planaltina |
- |
- |
- |
- |
75,06 |
75,06 |
|
SGON |
- |
- |
- |
- |
71,60 |
71,60 |
|
TOTAL |
271,43 |
584,53 |
925,57 |
1.341,54 |
2.076,56 |
5.199,63 |
Fonte: Secretaria de Projetos e Obras 2021.
Evolução das Áreas do MPDFT:
Não houve alteração nas áreas do MPDFT nos últimos três exercícios.
|
EVOLUÇÃO DAS ÁREAS EM M² |
||||||
|
TIPO DE EDIFICAÇÃO |
2019 |
2020 |
2021 |
|||
|
m2 |
% |
m2 |
% |
m2 |
% |
|
|
Próprio |
98.990,17 |
97,72% |
98.990,17 |
97,72% |
98.990,17 |
97,72% |
|
Locado |
2.305,99 |
2,28% |
2.305,99 |
2,28% |
2.305,99 |
2,28% |
|
Total |
101.296,16 |
100,00% |
101.296,16 |
100,00% |
101.296,16 |
100,00% |
Fonte: Secretaria de Projetos e Obras 2021.
Mudanças e desmobilizações relevantes
Em relação às edificações do MPDFT, não foram realizadas mudanças e/ou desmobilizações relevantes durante o ano de 2021.
Houve a doação de 96 itens ociosos e inservíveis para o Órgão, que totalizaram o valor de R$ 8.630,48, e leilões de 18.089 itens, no valor global de R$327.346,60.
Principais desafios e ações futuras
Em relação à construção do edifício das Promotorias de Justiça de Brazlândia:
- Execução de 100% das fundações e da estrutura.
- Execução de elementos de arquitetura (alvenarias, esquadrias, coberturas e fechamentos laterais, grande parte dos revestimentos de piso, revestimentos de parede e de forro).
- Execução de parte dos serviços de pintura, impermeabilizações, instalações hidráulicas, equipamentos, instalações elétricas, sistema de ar-condicionado, elevadores e subestação de energia.
Gestão de Licitações e Contratos
Detalhamento dos gastos das contratações por finalidade e especificação dos tipos de serviços contratados para o funcionamento administrativo.
Durante o período, foram homologados 83 processos licitatórios, dos quais 82 foram pregões eletrônicos e uma concorrência pública. O valor total homologado foi R$ 44.910.152,08, o que representa 81,71 % do valor estimado de todos esses processos.
Os processos de licitação realizados e os contratos firmados podem ser acessados no Portal da Transparência do MPDFT, disponíveis em:
Contratações mais relevantes, associação aos objetivos estratégicos e justificativas para essas contratações
A Secretaria de Licitação (Slic), área-meio do MPDFT, realiza suas atividades quando provocada ou demandada pelos demais setores. Cabe à Slic, entre outras atividades, a elaboração dos Editais e a execução das sessões públicas para a seleção da melhor proposta. Sendo assim, todo objeto resultante da atividade dessa secretaria presume-se essencialmente alinhado aos objetivos estratégicos do MPDFT, na medida em que os processos somente têm andamento se esses objetivos estiverem neles destacados.
O quadro, a seguir, evidencia algumas contratações realizadas sob o ponto de vista de resultados para a sociedade:
|
Área demandante |
Objeto |
Justificativa para contratação |
|
SDA |
Contratação de serviços de telefonia móvel (SMP) e de acesso móvel à internet. |
Para o Ministério Público do Distrito Federal e Territórios (MPDFT), com sua missão de promover a justiça, a democracia, a cidadania e a dignidade humana, atuando para transformar em realidade os direitos da sociedade, a capacidade de comunicação é essencial para o desenvolvimento de sua atividade institucional. Além disso, a dinâmica da atuação do MPDFT vem sofrendo alterações e exigindo cada vez mais ampla conectividade e presença on-line. |
|
SDA |
Contratação para modernização de elevadores no edifício-sede. |
Níveis de segurança, confiabilidade, padrão de conforto e atendimento às normas de acessibilidade para pessoas com deficiência. As mudanças se reverterão em melhor atendimento e segurança para os usuários dos elevadores no edifício-sede do MPDFT. |
|
STI |
Contratar o pacote de softwares de escritório e produtividade da |
A presença continuamente crescente da tecnologia em dispositivos portáteis alterou de tal forma a cultura moderna que não é razoável supor que os membros e servidores do MPDFT realizarão trabalho apenas quando presentes nas instalações da Instituição. A solução Microsoft Office 365 permite o uso de todos os softwares em aplicativos móveis e na web, de forma colaborativa. Ela auxilia e melhora o trabalho remoto, proporcionando menos carros nas ruas, menos trânsito, menos poluição e mais cuidado com o meio ambiente. |
|
SPO |
Adequações de acessibilidade da área interna do edifício de Samambaia. |
Considerando o dever do Poder Público de garantir ações necessárias ao cumprimento das disposições constitucionais e legais concernentes às pessoas com deficiência, torna-se imperioso adotar as medidas necessárias à adequação às condições indispensáveis ao uso das instalações prediais, de forma a torná-las acessíveis para pessoas com deficiência. |
|
SPO |
Adequações de acessibilidade da área interna do Edifício Infância. |
Considerando o dever do Poder Público de garantir ações necessárias ao cumprimento das disposições constitucionais e legais concernentes às pessoas com deficiência, torna-se imperioso adotar as medidas necessárias à adequação às condições indispensáveis ao uso das instalações prediais, de forma a torná-las acessíveis para pessoas com deficiência. |
|
STI |
Contratar software de videoconferência (Zoom 2021). |
A aquisição de licença de software de videoconferência que permitisse a transmissão on-line de eventos possibilitou que membros e servidores pudessem participar das atividades em todas as unidades administrativas e/ou em suas próprias residências, mesmo após o fim da pandemia. Essa ferramenta auxilia/melhora o trabalho remoto, proporcionando menos carros nas ruas, menos trânsito, menos poluição e mais preocupação com o meio ambiente; |
|
STI |
Adquirir licenças de softwares de desenvolvimento, planejamento e gestão. |
Com o avanço da transformação dos processos físicos em eletrônicos, processos judiciais e extrajudiciais e a manipulação de arquivos para conversão e/ou concatenação de forma mais rápida e segura, mantendo a qualidade dos documentos, têm se mostrado como essenciais e imprescindíveis nos principais sistemas do MPDFT, tais como NeoGab, Tabularium e DiliGente. Atualmente, para realizar quaisquer dessas tarefas, há a necessidade de se efetuar a manipulação fora do sistema, o que gera atraso na atividade essencial e diminui a qualidade por exigir conhecimento mais específico por parte de usuários que não possuem formação em Tecnologia da Informação. Em muitos casos, também gera equívoco na seleção do arquivo a ser transmitido pelo sistema. |
|
SPO |
Contratação do remanescente para implantação de reservatório de reúso no edifício-sede. |
Para a satisfação do interesse público, é imperiosa a contratação do remanescente, de forma a viabilizar o funcionamento do sistema, considerando os recursos financeiros que já foram investidos, bem como a necessidade de evitar prejuízos decorrentes da deterioração dos equipamentos, das peças e dos reservatórios já instalados. |
|
SPO |
Fornecimento e instalação de centrais de incêndio. |
A instalação de centrais de incêndio evita acidentes, riscos à integridade da edificação e de equipamentos e aumenta a segurança das pessoas. |
|
SPO |
Ampliação do reúso no edifício de Ceilândia. |
Meio ambiente preservado – maximizar a economia de recursos naturais e financeiros. A adaptação do sistema permitirá o uso das águas coletadas, também, nas descargas |
|
SPO |
Ampliação do reúso no edifício do Paranoá. |
Meio ambiente preservado – maximizar a economia de recursos naturais e financeiros. A adaptação do sistema permitirá o uso das águas coletadas, também, nas descargas dos vasos sanitários, que são responsáveis por um percentual considerável no consumo de água da edificação. |
|
SPO |
Adequações de acessibilidade – área interna - edifício do Paranoá |
Considerando o dever do Poder Público de garantir a ações necessárias ao cumprimento das disposições constitucionais e legais concernentes às pessoas com deficiência, torna-se imperioso adotar as medidas necessárias à adequação às condições indispensáveis ao uso das instalações prediais, de forma a torná-las acessíveis para pessoas com deficiência. |
Fonte: Secretaria de Licitação 2021.
Desafios:
-
Implementação da Nova Lei de Licitações (Lei nº 14.133/2021).
- Treinamento dos servidores quanto à nova lei e quanto às mudanças nos sistemas que a utilizam.
- Atualização de todos os normativos, utilizados nesta secretaria, que são relacionados à nova Lei de Licitações.
2) Atender ao Programa Anual de Contratações, que discrimina as contratações previstas para o ano de 2022.
Contratações diretas - Conformidade legal
Entre as contratações diretas, sem licitação efetuadas, os principais enquadramentos são:
- Contratação de baixo valor (até R$ 17.600,00) – art. 24, inciso II, da Lei nº 8.666/1993.
- Contratação de remanescente – art. 24, inciso XI, da Lei nº 8.666/1993.
- Demais contratações por dispensa de licitação – art. 24, incisos XIII, XVI e XXII, nº 8.666/1993.
- Inexigibilidade de licitação – enquadramentos: art. 25, caput, inciso I e inciso II; e art. 13, inciso VI, da Lei nº 8.666/1993.
O conteúdo completo das contratações diretas efetuadas pode ser acessado no Portal da Transparência do MPDFT, disponíveis em:
https://www.mpdft.mp.br/transparencia/index.php?item=dispensasInexigibilidades&iAno=2021&iMes=12
Contratações Diretas - Justificativas
Cumpre destacar o investimento da administração superior no custeio de capacitação/treinamento dos seus membros e servidores e da necessidade de manutenção dos serviços prestados à sociedade, atuando, com eficiência e transparência, na proteção dos direitos do cidadão e na promoção da justiça.
|
Contratações |
Total (R$) |
|
Baixo valor (até R$ 17.600,00) |
94.775,34 |
|
Contratação de remanescente |
10.259,79 |
|
Contratação de instituição sem fins lucrativos |
34.689,27 |
|
Inexigibilidade (fornecedor exclusivo) |
1.508.792,01 |
|
Energia elétrica |
426.678,65 |
|
Água |
90.825,71 |
|
Locação de imóvel |
61.350,91 |
|
ECT |
20.031,59 |
|
ABNT |
1.440,00 |
|
Treinamento/capacitação (inexigibilidade) |
314.869,06 |
|
Contratações de Tecnologia de Informação (TIC) |
511.800,92 |
Fonte: Assessoria de Contratos e Convênios 2021.
Contratos de prestação de serviços
Principais contratos de prestação de serviços
|
Serviço |
Valor pago |
|
Limpeza e conservação |
5.722.211,96 |
|
Copeiragem |
2.469.376,23 |
|
Manutenção e conservação predial |
3.090.810,74 |
|
Manutenção e conservação de bens imóveis |
3.359.691,16 |
|
Manutenção e conservação de ar condicionado |
1.606.461,15 |
|
Vigilância armada |
15.373.369,90 |
|
Brigada de incêndio |
1.619.584,63 |
|
Recepção |
1.318.176,57 |
Fonte: Tesouro Gerencial, 2021.
Riscos de gestão/alternativas e como o MPDFT lida com esses riscos:
-
Prolongamento da pandemia e contágio por meio de nova cepa de covid-19: Protocolos instituídos, por meio de portarias normativas referentes à prevenção e ao combate do covid-19, destinados ao público interno e a usuários dos serviços do MPDFT, envolvendo implementação de teletrabalho, regras sanitárias e aquisição e distribuição de EPIs ao pessoal de serviço;
-
Contingenciamento de recursos para investimentos em segurança perante a desaceleração da economia em razão da pandemia: Aprimoramento do planejamento de aquisições e otimização no uso dos recursos logísticos disponíveis, com base em análise de riscos.
Oportunidades:
- Celebração de termos de cooperação na área de treinamento e operações com instituições policiais.
Fonte: Secretaria de Segurança das Instalações 2021.
Sustentabilidade
Critérios de sustentabilidade nas contratações e aquisições
A área responsável pelas contratações e aquisições no MPDFT deve seguir o Guia de Contratações Sustentáveis do Ministério Público Federal, pois este estabelece uma noção aplicável do conceito de sustentabilidade nas contratações. O referido documento pode ser acessado pelo link:
http://bibliotecadigital.mpf.mp.br/bdmpf/handle/11549/109657
Ações para a redução do consumo de recursos naturais
- Renovação da adesão ao programa Agenda Ambiental da Administração Pública (A3P).
- Elaboração e publicação do Plano de Logística Sustentável, com metas de redução e controle de consumo de recursos naturais.
- Implantação da automação predial no edifício das Promotorias de Justiça de Santa Maria.
- Implantação da automação predial no edifício das Promotorias de Justiça de Ceilândia.
- Implantação de sistema de reaproveitamento de água pluvial no edifício das Promotorias de Justiça de Santa Maria
- Manutenção da restrição do horário de funcionamento do sistema de ar-condicionado.
- Incentivo à mobilidade sustentável por meio da construção de bicicletários e vestiários.
- Concluir a substituição de válvulas de descarga simples por válvulas de duplo acionamento.
- Avançar na elaboração e no desenvolvimento de projetos de minigeração fotovoltaica.
Ações para a redução de consumo de energia elétrica
- Conclusão da implementação de lâmpadas LED nas Promotorias de Justiça do Gama, da Infância, de Samambaia, de Ceilândia e Brasília II.
- Conclusão da instalação de brise-soleil e de telhas termoacústicas nas Promotorias de Justiça do Gama, da Infância, de Samambaia e de Santa Maria.
- Início da instalação de sistema de minigeração de energia fotovoltaica nas Promotorias de Justiça do Gama, de Samambaia e de Brasília II.
- Automação predial do edifício da Promotoria de Justiça de Defesa da Infância e da Juventude.
- Modernização e atualização de dois elevadores do edifício-sede.
- Recuperação e modernização da fachada do edifício das Promotorias de Justiça de Santa Maria, visando à otimização do conforto térmico e à redução do consumo de energia elétrica.
- Implantação do sistema de ar-condicionado independente (VRF) no auditório do edifício-sede.
- Substituição do compressor do Chiller no edifício das Promotorias de Justiça de Ceilândia.
Ações para a redução do consumo de água
- Conclusão da instalação de válvulas de descarga hydra duo no edifício-sede e nas Promotorias de Justiça do Gama, da Infância, de Planaltina, de Samambaia, do Paranoá, de Santa Maria e de Ceilândia.
- Conclusão da instalação de irrigação automatizada no edifício-sede e nas Promotorias de Taguatinga, de Planaltina, de Samambaia, do Paranoá, de Santa Maria, de Ceilândia e de Brasília II.
- Início da instalação de irrigação automatizada para jardins na Promotoria de Justiça de São Sebastião.
- Ampliação do sistema de aproveitamento de água pluvial do edifício da Promotoria de Justiça do Paranoá.
- Ampliação do sistema de aproveitamento de águas pluviais do edifício da Promotoria de Justiça de Ceilândia.
- Recuperação da laje do reservatório de água do Edifício Brasília II.
- Execução da obra remanescente do sistema de reaproveitamento de água do edifício-sede.
Ações para a redução de emissão de poluentes
- Como forma de estímulo à utilização de meios de locomoção sustentáveis, deu-se início à instalação de bicicletários para o público externo nas Promotorias de Taguatinga, Planaltina, Paranoá, Santa Maria, Ceilândia e São Sebastião.
- Deu-se início, também, à construção de vestiários, para que servidores e membros possam usufruir após a utilização de bicicletas, na Promotoria de Justiça do Paranoá, além da conclusão da construção dessas instalações nas Promotorias de Justiça da Infância e de Samambaia;
- Instalação de pontos elétricos de recarga nos bicicletários internos nas Promotorias de Justiça de Samambaia, Santa Maria e Ceilândia.
- Realização de campanhas semestrais de coleta de lixo eletrônico, visando ao seu descarte adequado.
- Campanha "Papa Cartão", destinada ao descarte adequado de cartões confeccionados em material PVC, que podem ser reciclados e transformados em outros materiais, como réguas e caixas.







